Contributi e Opinioni 30 Aprile 2020 12:10

Specializzazioni, appello alle regioni del Forum Sanità dei Giovani Democratici: «Aumentare borse per salvare SSN»

«Si stima che dal 2018 al 2025 mancheranno almeno 16500 medici specialisti, una vera e proprio emorragia che si concentra soprattutto in alcune specialità» si sottolinea nella missiva inviata ai consiglieri regionali Pd di tutta Italia

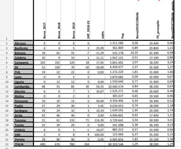
Una lettera per sensibilizzare tutti i consiglieri regionali del Partito Democratico sulla necessità di aumentare il numero di borse di specializzazione medica in vista del prossimo concorso nazionale. L’ha scritta Stefano Manai a nome del Forum Sanità dei Giovani Democratici. A corredo, una tabella che permette di valutare il trend delle borse di specializzazione medica finanziate dalle regioni negli ultimi anni.

«Ci teniamo a precisare che non c’è al momento ufficialità né sulla data né sulle modalità di svolgimento» sottolinea Manai. Ecco il testo della lettera:

«Carissimi Consiglieri,

Il nostro paese é oramai da quasi due mesi alle prese con la più grande sfida degli ultimi anni, una battaglia mondiale, che ci vede uniti nel far fronte a questa emergenza. A tal proposito cogliamo il momento per ringraziarvi personalmente, perché il vostro prezioso lavoro, non solo di rappresentanza istituzionale, ma sopratutto di prime sentinelle che sanno ascoltare e risolvere i problemi del cittadino, si fa sentire e come, particolarmente in questa circostanza.

Il SSN ha saputo reagire grazie agli eroici sforzi di medici, infermieri, operatori socio sanitari, di tutto il personale del comparto sanitario, nessuno escluso.

Un grande lavoro di squadra, dentro e fuori le mura dell’ospedale, che ha visto lo spiegamento di forze dei nostri volontari e di ogni cittadino che si è fermato in osservanza delle leggi.

Il SSN é un bene estremamente prezioso, come fosse una madre o un padre, un genitore insomma, che non lascia mai indietro nessuno, che assicura gratuitamente le cure a tutte e tutti.

Il suo futuro però é incerto. Una futura classe medica estremamente ridotta all’osso. Si stima che dal 2018 al 2025 mancheranno almeno 16500 medici specialisti, una vera e proprio emorragia che si concentra soprattutto in alcune specialità, quali medicina d’emergenza-urgenza, anestesia e rianimazione ( proprio i medici che stanno salvando migliaia di vite attualmente nelle nostre terapie intensive), pediatra, medicina interna, chirurgia generale e molte altre.

Il SSN é in serio pericolo e quello che vi stiamo chiedendo é un grande finanziamento di borse regionali aggiuntive a quelle ministeriali sul prossimo concorso di accesso alla scuola di specializzazione medica. Un investimento sicuro, un investimento sui futuri professionisti medici che avranno cura di noi e dei nostri cari, un investimento che passa oggi dalle nostre mani.

Il prossimo concorso SSN é previsto per luglio 2020 e parteciperanno circa 22mila aspiranti specializzandi per circa 8mila borse. Numeri che aumentano se, come prevedibile, il test sarà spostato per ovvie ragioni, a settembre/ottobre 2020, raggiungendo i 30000 partecipanti circa per le solite 8mila borse.

Vi lasciamo in allegato un file Excel per valutare il trend delle borse di specializzazione medica finanziate dalle regioni negli ultimi anni.

La salute dei cittadini é nelle nostre mani, e ora é il momento giusto per poter salvare la classe medica e il SSN dal tracollo definitivo. É il momento di assicurare il futuro dei nostri figli e dei nostri nipoti. Confidiamo in voi per un grande piano di aumento di borse regionali per il prossimo concorso, che sia a luglio o in autunno prossimo.

Vi ringraziamo per l’attenzione e nuovamente per il vostro lavoro, oggi più che mai fondamentale».

Articoli correlati
Bonus 200 euro a specializzandi, è boom di richieste all’Enpam dopo il no dell’Inps
Oliveti: «Ci adopereremo per migliorare inquadramento previdenziale degli specializzandi»
Dopo i medici cubani, la Calabria apre agli specializzandi. Viola (Federspecializzandi): «Servono cambiamenti strutturali»
Per contrastare la grave carenza di medici, la Regione Calabria ha pubblicato un avviso per reclutare specializzandi da tutta italia. Federspecializzandi: «Positivo, ma per specializzandi non è una scelta facile»
Medici ex specializzandi, tribunali, politica ed Europa: cosa cambia dopo la sentenza della Corte Ue
La senatrice Daniela Sbrollini e l’avvocato Marco Tortorella hanno approfondito i risvolti della storica pronuncia su prescrizione, rivalutazione monetaria e adeguatezza delle borse in un webinar in esclusiva per i medici tutelati da Consulcesi
Specializzandi, la proposta del Pd: contratto della dirigenza e scuola di specializzazione per MMG
Al Senato la proposta di legge della dem Paola Boldrini: tra gli obiettivi collegare il numero delle borse di specializzazione ai reali bisogni delle diverse discipline sul territorio. L’assessore alla Sanità del Lazio D’Amato: «Prossimi anni difficili, riforma urgente»
di Francesco Torre
Specializzandi, il 30% lavora più di 70 ore settimanali. «Scarse tutele e condizioni ai limiti dello sfruttamento»
I risultati dell’inchiesta dell’Associazione “Chi si cura di te?” sull’orario di lavoro dei medici in formazione specialistica. Fra orari insostenibili, riposi mancati e diritti negati
GLI ARTICOLI PIU’ LETTI
Advocacy e Associazioni

Il “bagaglio”, docufilm che racconta paure, speranze e percorsi delle donne con tumore al seno

Promosso da MSD Italia con le principali associazioni di pazienti, racconta il percorso di una donna dopo la diagnosi di tumore al seno, tra emozioni, forza e speranza, evidenziando l’importanza...
di Marco Landucci
Advocacy e Associazioni

Advocacy, l’Aifa rafforza il dialogo con i pazienti: nasce “Aifa Ascolta”

Gli incontri, di natura conoscitiva e quadrimestrale, permetteranno al Presidente e agli uffici Aifa di ascoltare direttamente le istanze dei pazienti
di I.F.
Sanità

Legge Caregiver, Locatelli: “Chi ama e cura non vuole essere sostituito, ma accompagnato”

Dopo oltre 15 anni di attesa, arriva il disegno di legge che riconosce tutele, diritti e dignità a chi si prende cura ogni giorno di una persona non autosufficiente. La ministra Locatelli a San...
di Isabella Faggiano
Salute

L’uso prolungato di melatonina può far male al cuore

L'uso prolungato di integratori a base di melatonina  potrebbe comportare un rischio più elevato di diagnosi di insufficienza cardiaca, ricovero ospedaliero connesso e morte per qualsiasi ...
di Valentina Arcovio
Advocacy e Associazioni

Disabilità, Consulte bloccate a Roma e Milano: “I diritti dei cittadini sospesi dalla politica”

Sofia Donato, componente del Direttivo della Consulta Cittadina Disabilità Roma, in un’intervista a Sanità Informazione: “Da giugno, i cittadini con disabilità non han...
di Isabella Faggiano